【本网讯】近期,伟德官网大气科学学院朱丽华博士联合本校范广洲教授、华维教授及中国科学院大气物理研究所的专家,在地学领域国际Top期刊《Geophysical Research Letters》(中科院一区,IF=5.576)上发表名为“Influence of anthropogenic activities on elevation‐dependent weakening of annual temperature cycle amplitude over the Tibetan Plateau”的学术论文,报道了人类活动对青藏高原气温年循环振幅海拔依赖型减弱的影响及其物理机制。朱丽华博士为论文第一作者兼通讯作者,bv伟德国际1946为第一署名单位。
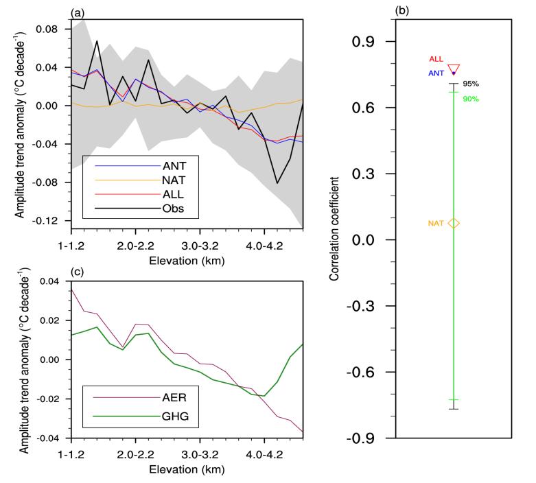
该研究发现近几十年青藏高原气温年循环振幅呈现减弱趋势,且该减弱趋势随海拔高度的增加而增强,这是由人类活动主导的,主要可归因于人为气溶胶的排放。在仅包含人为气溶胶强迫的试验中,人为气溶胶的增加减少了高原冬季高海拔地区的雪盖面积,这可能与前人观测到的高原高海拔地区的气溶胶沉降有关。雪盖面积的减少降低了高海拔地区的地表反照率,增强了高原冬季的增暖,从而导致气温年循环振幅的减弱呈现海拔依赖型。

青藏高原气温年循环振幅变化趋势对不同外强迫的响应
论文信息:Zhu, L., Huang, G., Fan, G., & Hua, W. (2022). Influence of anthropogenic activities on elevation-dependent weakening of annual temperature cycle amplitude over the Tibetan Plateau. Geophysical Research Letters, 49, e2021GL095494. https://doi. org/10.1029/2021GL095494